Background
Although core-binding factor acute myeloid leukemia (CBF-AML) generally has a favorable prognosis, relapse occurs in ~40% of cases. Allogeneic hematopoietic cell transplantation (allo-HCT) is recommended when patients achieve second complete remission (CR2). However, transplant outcomes and donor preference for these patients remain unclear. We compared in an EBMT global multi-center registry-based analysis the outcomes following allo-HCT using either haploidentical donors (HAPLO), matched siblings donors (MSD), or 10/10 matched unrelated donors (MUD).
Methods
Data from 865 de novo adult CBF AML patients in CR2 receiving allo-HCT in 227 EBMT centers from 2010-2022 were analyzed. Transplants from mismatched UD (<10/10), umbilical cord blood or grafts with ex-vivo manipulation were excluded. Univariate analyses and Cox regression models were used.
Results
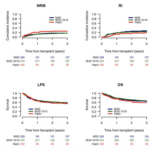
Results from 329 MSD, 374 MUD, and 162 HAPLO HCTs were analyzed. For the entire cohort, median age was 43y (range: 18-76). Inv(16)/CBFBMYH11 was detected in 503 patients (58%) and t(8;21)/RUNX1-RUNX1T1 was detected in 362 patients (42%). Peripheral blood was the major graft source (86.1%), and myeloablative conditioning was used for the majority (60.1%) of all allo-HCTs. Female-to-male transplants were more common in the MSD group (25.5%) than in the HAPLO (19.8%) or MUD (14.2%) group, respectively (p<0.01). 83% of patients in the HAPLO group received post transplant cyclophosphamide (PTCy) as graft-versus-host disease (GVHD) prophylaxis. Engraftment rates were higher in the MSD (98.8%) and MUD (98.9%) than in the HAPLO (94.9%) group (p<0.01). Original disease was the major cause of death for the MSD and MUD cohorts, while in the HAPLO group, it was infection.
On univariate analysis, HAPLO HCT was associated with a higher 2-year non-relapse mortality (NRM) (MSD 17.1%, MUD 15.3%, HAPLO 25.7%). The 180-day cumulative incidence of grade II-IV acute GVHD was higher in HAPLOs (14.8%) than in MSD (6.8%) or MUD (7.9%) recipients, respectively . No significant difference was observed among the three cohorts for 2-year leukemia-free survival (LFS), overall survival (OS) and GVHD-free/relapse free survival (GRFS). CBF-AML with inv(16) was associated with lower relapse incidence RI (18.1%) than with t(8;21) (28.3%), which contributed to better OS (75.7% vs 59.8% at 2 years), LFS (65.8% vs 51.2%) and GRFS (50.8% vs 38.5%) . Older patient age i.e., above the median age, was associated with a higher NRM (22.4% vs 13.3%) and a lower OS (63.8% vs 74.8%) than younger age i.e., below the median age. Peripheral blood grafts were associated with higher incidences of chronic GVHD (41.5% vs 25.8%) and extensive cGVHD (21.6% vs 9.7%) than bone marrow grafts.
On multivariate analysis, no significant difference was observed among HAPLO, MSD and MUD allo-HCTs on NRM. HAPLO HCT was associated with lower RI compared to MSD (hazard ratio [HR]=0.56, 95% CI 0.32-0.97; p<0.05) and MUD (HR=0.57, 95% CI: 0.33-0.99, p<0.05) while there was no significant differences between the 3 types of donors on LFS, OS and GRFS. CBF-AML with t(8;21) was associated with both higher RI (HR=1.79, 95% CI 1.3-2.47; p<0.01) and higher NRM (HR=1.58, 95% CI 1.1-2.27; p<0.01) than CBF-AML with inv(16), which led to worse LFS, OS and GRFS. Higher age (per 10 year) was associated with higher risk of NRM (HR=1.29, 95% CI 1.11-1.5; p<0.01) and worse OS (HR=1.13, 95% CI 1.01-1.27; p=0.03).
Conclusions
For CBF-AML patients in CR2, haploidentical HCTs were associated with a lower RI compared to MSD and MUD allo-HCTs. HAPLO achieved similar LFS, OS and GRFS to MSD or MUD, respectively. In addition, CBF AML with inv(16) had better outcomes than with t(8;21) after allo-HCT.
Disclosures
Yakoub-Agha:Bristol-Myers Squibb: Honoraria; Kite, a Gilead Company: Consultancy, Honoraria, Other: Travel Support; Novartis: Consultancy, Honoraria; Janssen: Honoraria. Forcade:Gilead Sciences: Other: Travel support, Speakers Bureau; GSK: Speakers Bureau; Jazz: Other: Travel support; MSD: Other: Travel support; Sanofi: Speakers Bureau; Astellas: Speakers Bureau; Alexion: Other: Travel support, Speakers Bureau; Novartis: Consultancy, Other: Travel support, Speakers Bureau. Ciceri:ExCellThera: Other: Scientific Advisory Board . Mohty:JAZZ PHARMACEUTICALS: Honoraria, Research Funding.
